本品主要成份為枸櫞酸莫沙必利。
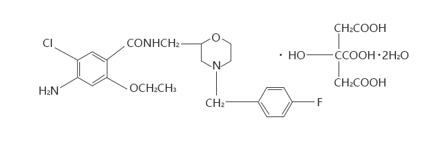
化學名稱:4-氨基-5-氯-2-乙氧基-N-[[4-(4-氟芐基)-2-嗎啉基]甲基]苯甲酰胺枸櫞酸二水合物。
化學結構式: 
分子式:C21H25C1FN3O3.C6H8O7.2H2O
分子量:650.05
本品用于改善因胃腸動力減弱(如:功能性消化不良、慢性胃炎)引起的消化道癥狀,包括燒心、噯氣、惡心、嘔吐、早飽、上腹脹、上腹痛等。
5mg(按C21H25C1FN3O3.C6H8O7計)
成人通常用量為1日3次,每次5mg(1片),飯前或飯后口服。
國外同品種臨床試驗998例中有40例(4.0%)出現不良反應。主要為腹瀉(1.8%)和稀便(0.5%),口渴(0.5%)、不適(0.3%)等。服用本品的792例患者中有30例(3.8%)實驗室檢查值發生異常變化,主要是嗜酸性粒細胞增多(1.1%)、甘油三酯升高(1.0%)、AST(GOT)、ALT(GPT)、ALP以及γ-GTP的升高(各0.4%)等。(批準時) 國外同品種上市后使用情況調查:特別調查(長期使用調查)的3014例患者中有74例(2.5%)出現不良反應。主要為腹瀉和稀便(0.8%),腹痛(0.4%),口渴(0.3%)等。(再審查結束時)(其他不良反應詳見藥品說明書)